由于您使用的浏览器版本过低,无法使用本网站所有功能,
建议升级至IE9.0以上版本,或使用Chrome、Safari最新版本浏览。
分享微信朋友圈
| 2年期国债期货合约表 | |||
| 合约标的 | 面值为200万元人民币、票面利率为3%的名义中短期国债 | 每日价格最大波动限制 | 上一交易日结算价的±0.5% |
| 可交割国债 | 发行期限不高于5年,合约到期月份首日剩余期限为1.5-2.25年的记账式附息国债 | 最低交易保证金 | 合约价值的0.5% |
| 报价方式 | 百元净价报价 | 最后交易日 | 合约到期月份的第二个星期五 |
| 最小变动价位 | 0.002元 | 最后交割日 | 最后交易日后的第三个交易日 |
| 合约月份 | 最近的三个季月(3月、6月、9月、12月中的最近三个月循环) | 交割方式 | 实物交割 |
| 交易时间 | 9:30 - 11:30, 13:00 - 15:15 | 交易代码 | TS |
| 最后交易日交易时间 | 9:30 - 11:30 | 上市交易所 | 中国金融期货交易所 |
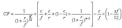
2年期国债转换因子和应计利息计算公式
国债期货可交割国债的转换因子和应计利息计算公式公布如下:
一、转换因子
转换因子计算公式如下:

其中,
r:2年期国债合约票面利率3%;
x:交割月到下一付息月的月份数;
n:剩余付息次数;
c:可交割国债的票面利率;
f:可交割国债每年的付息次数;
计算结果四舍五入至小数点后4位。
应计利息的日计数基准为“实际天数/实际天数”,每100元可交割国债的应计利息计算公式如下:

计算结果四舍五入至小数点后7位。
| 品种 | 合约名称 | 开盘价 | 最高价 | 最低价 | 最新价 | 涨跌 | 买价 | 买量 | 卖价 | 卖量 | 成交量 | 持仓量 | 图表 |
![]() |